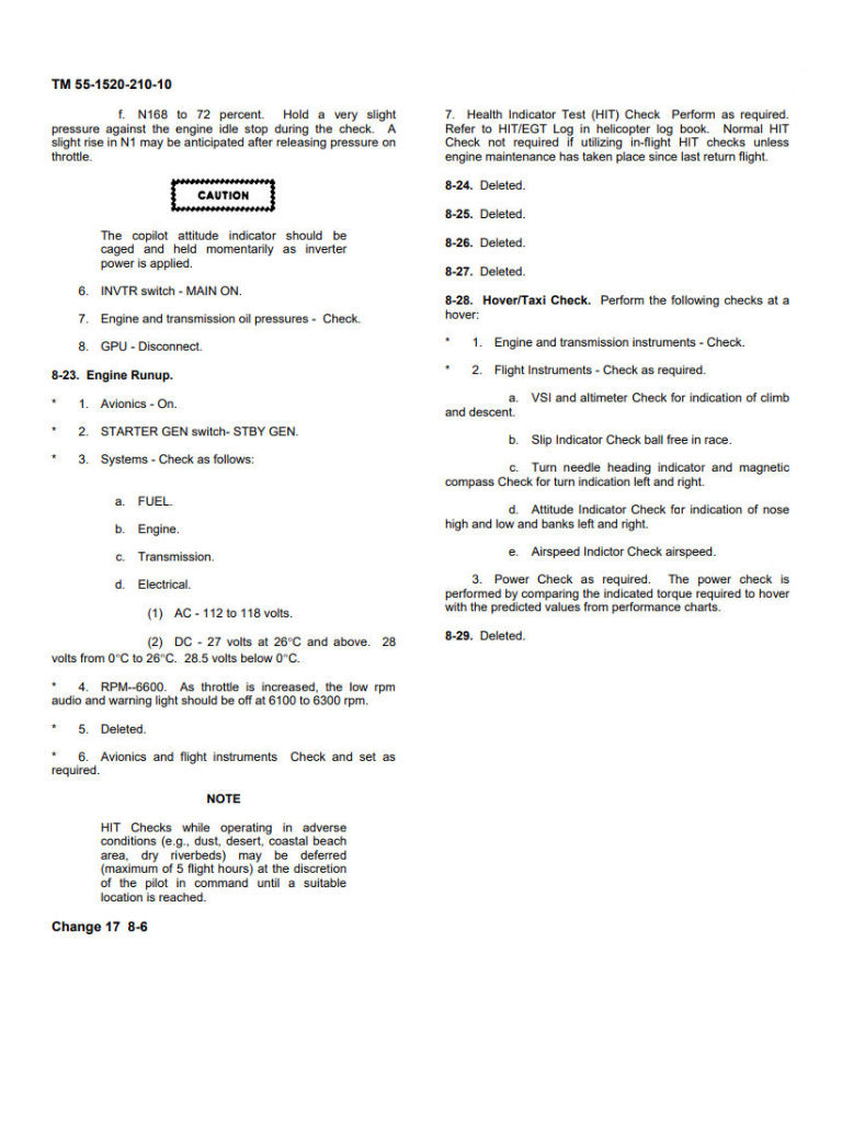
News
Changelog
Newsletters
White papers
Downloads
DCS World
Texture templates
Documentation
Screenshots
User files
E-Shop
Modules
Terrains
Bundles
Сampaigns
Forums
Support
Help
User support
Technical questions
Miles rules
License Agreement
Guidelines
My trials
My orders
My Miles
Servers
My Support
My Profile
Login
Play Free
News
Changelog
Newsletters
White papers
Downloads
DCS World
Texture templates
Documentation
Screenshots
User files
E-Shop
Modules
Terrains
Bundles
Сampaigns
Forums
Support
Help
User support
Technical questions
Miles rules
License Agreement
Guidelines
User Files
Free Community Content
Type
All
All
Campaign (
591
)
Device Profiles (
682
)
Document (
1218
)
Mod (
1607
)
Multiplayer mission (
1321
)
Single mission (
3634
)
Skin (
14015
)
Sound (
382
)
Static template (
207
)
Terrain (
10
)
Track (
154
)
Utility (
285
)
Video (
17
)
Other (
396
)
Localization
All
All
English (
14826
)
Russian (
809
)
Deutsch (
273
)
Chinese (
203
)
French (
662
)
Spanish (
506
)
Portuguese (
129
)
Italian (
43
)
Chech (
26
)
Polish (
25
)
Any language (
6524
)
Other (
493
)
Game
All
All
LockOn: Modern Air Combat 1.02 (
4
)
LockOn: Flaming Cliffs 1.12 (
4
)
LockOn: Flaming Cliffs 2 (
404
)
DCS: Black Shark 1.0.1 (
14
)
DCS: Black Shark 1.0.2 (
95
)
DCS World (
2905
)
DCS World 1.5 (
496
)
DCS World 2.0 (
206
)
DCS World 2.8 (
199
)
DCS World 2.1 (
37
)
DCS World 2.5 (
5072
)
DCS World 2.7 (
3431
)
DCS World 2.8 (
1006
)
DCS World 2.9 (
2354
)
Any version (
6771
)
Unit
All
All
A-10A (
98
)
A-10C Warthog (
618
)
A-10C II Tank Killer (
313
)
AH-64D (
558
)
AJS-37 Viggen (
223
)
AV-8B Night Attack V/STOL (
477
)
Bf 109 K-4 Kurfurst (
237
)
C-101 Aviojet (
62
)
CH-47F (
103
)
Christen Eagle II (
22
)
Combined Arms (
21
)
F-14 Tomcat (
1028
)
F-15C (
642
)
F-15E (
405
)
F-16C Viper (
2164
)
F-4E (
353
)
F-5E Tiger (
488
)
F-86F Sabre (
271
)
F/A-18C (
2561
)
Fw 190 A-8 Anton (
102
)
Fw 190 D-9 Dora (
76
)
F4U-1D (
63
)
Hawk T.1A (
24
)
I-16 (
55
)
J-11A (
77
)
JF-17 Thunder (
251
)
Ka-50 (
554
)
L-39 Albatros (
271
)
M-2000C (
778
)
MB-339 (
32
)
Mi-24P (
474
)
Mi-8MTV2 (
532
)
MiG-15bis (
163
)
MiG-19P Farmer (
80
)
MiG-21bis (
487
)
MiG-29A (
261
)
MiG-29C (
272
)
Mirage F1 (
154
)
Mosquito FB VI (
172
)
OH-58D Kiowa Warrior (
79
)
P-47D Thunderbolt (
286
)
P-51D Mustang (
581
)
SA342 Gazelle (
189
)
Spitfire LF Mk. IX (
322
)
Su-25 (
191
)
Su-25T (
310
)
Su-27 (
529
)
Su-33 (
299
)
TF-51 (
19
)
UH-1H Huey (
774
)
Yak-52 (
129
)
Vehicle (
235
)
Camera (
46
)
Other (
5008
)
Map
All
All
Afghanistan (
105
)
Caucasus (
394
)
Cold War Germany (
50
)
Iraq (
7
)
Iraq North (
1
)
Kola (
107
)
Marianas (
77
)
Marianas WWII (
14
)
Nevada Test and Training Range (
53
)
Normandy 1944 (
8
)
Normandy 2.0 (
59
)
Persian Gulf (
148
)
Sinai (
92
)
South Atlantic (
23
)
Southwest Afghanistan (
6
)
Syria (
271
)
The Channel (
6
)
Any map (
1610
)
License
All
All
Freeware - Free version, Unlimited distribution (
13378
)
Freeware - Free version, Do Not Redistribute (
10958
)
Freeware - Free version, License file included (
149
)
Paid - Paid version, License file included (
34
)
Date From
Date To
User
Sort by
Default
Default
Popularity
Newest
Oldest
Downloads
Selected:
0
Show
Files
10
20
50
100
10
10
20
50
100
(11 – 20 of 25)
DCS World 2.8
UH-1H Huey
US ARMY DESERT 173rd HUEY GUNSHIP
Type -
Skin
Uploaded by -
DishDoggie
Date - 03/15/2022 22:54:05
A Full US ARMY Desert Huey Skin Inside and Out
License:
Freeware - Free version, Do Not Redistribute
Language:
English
Size:
34.59 Mb
Downloaded:
1221
Comments:
2
more screenshots
Detail
Download
User votes:
0
Vote
You voted for this file
Tags:
UH - 1H Huey
,
Huey
,
Skin
,
Desert
,
Camo
,
USA
,
Army
,
Uh1
DCS World 2.8
UH-1H Huey
Vietnam Dustoff Medevac Real Nose Art "Hover Lover"
Type -
Skin
Uploaded by -
DishDoggie
Date - 03/11/2022 14:05:01
A Vietnam Era Medevac with real Nose Art "HOVER LOVER" But that is it the rest is Fiction.
License:
Freeware - Free version, Do Not Redistribute
Language:
English
Size:
28.08 Mb
Downloaded:
385
Comments:
0
more screenshots
Detail
Download
User votes:
0
Vote
You voted for this file
Tags:
UH-1
,
UH-1 Huey
,
Medevac
,
Huey
,
Skin
DCS World 2.8
UH-1H Huey
Vietnam Dustoff Medevac Nose Art is Real "IRON BUTTERFLY"
Type -
Skin
Uploaded by -
DishDoggie
Date - 03/11/2022 13:59:02
Vietnam Dustoff Medevac Nose Art is Real "IRON BUTTERFLY" But that is it. The rest is fiction.
License:
Freeware - Free version, Do Not Redistribute
Language:
English
Size:
28.08 Mb
Downloaded:
334
Comments:
2
more screenshots
Detail
Download
User votes:
0
Vote
You voted for this file
Tags:
uh-1
,
UH-1 Huey
,
Skin
,
Vietnam
,
Medevac
DCS World 2.8
UH-1H Huey
Vietnam Medevac Real Nose Art "My Brothers Keeper" But that's it
Type -
Skin
Uploaded by -
DishDoggie
Date - 03/11/2022 13:53:11
A Dustoff Medevac from Vietnam era The Nose Art is real but the rest is Fiction.
License:
Freeware - Free version, Do Not Redistribute
Language:
English
Size:
28.08 Mb
Downloaded:
254
Comments:
0
more screenshots
Detail
Download
User votes:
0
Vote
You voted for this file
Tags:
uh-1 Huey
,
UH-1
,
Huey
,
Medevac
,
Skin
DCS World 2.8
UH-1H Huey
Vietnam Medevac Real Nose Art "WHY"
Type -
Skin
Uploaded by -
DishDoggie
Date - 03/11/2022 13:46:29
Dustoff 1 A Vietnam Medevac Has the Real "WHY" Nose Art but The rest is Fictional
License:
Freeware - Free version, Do Not Redistribute
Language:
English
Size:
28.07 Mb
Downloaded:
240
Comments:
0
more screenshots
Detail
Download
User votes:
0
Vote
You voted for this file
Tags:
uh1
,
uh-1
,
uh-1huey
,
Huey
,
Skin
,
Vietnam
,
Medevac
DCS World 2.8
UH-1H Huey
Little Annie Fanny Vietnam Huey
Type -
Skin
Uploaded by -
DishDoggie
Date - 03/08/2022 18:14:51
Rated R 18+ for Language "Poem on Dash Panel" Plus Little Annie Fanny is a Cartoon from Playboy back in the day.
License:
Freeware - Free version, Do Not Redistribute
Language:
English
Size:
28.11 Mb
Downloaded:
288
Comments:
2
more screenshots
Detail
Download
User votes:
0
Vote
You voted for this file
Tags:
Huey
,
Skin
,
UH1-H
,
Vietnam
,
VIETNAM GUNSHIPS
,
gunships
,
117
,
117th
,
117 Squadron
,
Little Annie Fanny
DCS World 2.8
UH-1H Huey
UH-1H United States Coast Guard Skin
Type -
Skin
Uploaded by -
DishDoggie
Date - 03/04/2022 16:22:49
UH-1H United States Coast Guard Skin
Custom Skin like no other ever seen
Updated Install Readme.txt 6/9/23
License:
Freeware - Free version, Do Not Redistribute
Language:
English
Size:
40.47 Mb
Downloaded:
933
Comments:
3
more screenshots
Detail
Download
User votes:
0
Vote
You voted for this file
Tags:
USCG
,
United States Coast Guard
,
Coast Guard
,
Huey
,
uh1-h
DCS World 2.7
Other
United States Coast Guard O. H. Perry Skin
Type -
Skin
Uploaded by -
DishDoggie
Date - 03/04/2022 15:23:54
United States Coast Guard O. H. Perry Skin for Static Ship in DCS
License:
Freeware - Free version, Do Not Redistribute
Language:
English
Size:
3.94 Mb
Downloaded:
267
Comments:
3
more screenshots
Detail
Download
User votes:
0
Vote
You voted for this file
Tags:
USCG
,
United States Coast Guard
,
Perry
,
Ship
DCS World 2.7
Other
United States Coast Guard Ticonderoga 2 Ver (FICTIONAL)
Type -
Skin
Uploaded by -
DishDoggie
Date - 03/04/2022 05:27:29
FICTIONAL United States Coast Guard Skins for the Ticonderoga Model.
License:
Freeware - Free version, Do Not Redistribute
Language:
English
Size:
11.13 Mb
Downloaded:
226
Comments:
0
more screenshots
Detail
Download
User votes:
0
Vote
You voted for this file
Tags:
uscg
,
united states coast guard
,
ship
DCS World 2.7
UH-1H Huey
Engine Start UH-1H 3 page Kneeboard
Type -
Other
Uploaded by -
DishDoggie
Date - 10/14/2021 15:47:04
3 page Kneeboard engine start in training book format.
License:
Freeware - Free version, Unlimited distribution
Language:
English
Size:
1.2 Mb
Downloaded:
417
Comments:
5
more screenshots
Detail
Download
User votes:
0
Vote
You voted for this file
Tags:
kneeboards
← ctrl
Prev.
1
2
3
Next
ctrl→